Farebne zladené oblečenie pre Barbie a Action Mana.
Potrebujeme: zbytok zelenej Miminy, ihlice č. 3, háčik č. 3,5 
Šiltovka ON
Upletieme retiazku z piatich očiek. Spletieme ju do kruhu.
- riadok upletieme 16 dlhých stĺpikov
- riadok upletieme 25 dlhých stĺpikov (každý druhý stĺpik rozpletieme na dva)
- riadok upletieme 25 dlhých stĺpikov
- riadok upletieme 25 krátkych stĺpikov
- riadok v prvých piatich očkách urobíme v každom 2 dlhé stĺpiky (spolu 10 stĺpikov) = šilt
Vesta ON
Upletieme predný aj zadný diel podľa obrázka. Riadky, ktoré nie sú popísané, pletieme ako sa javia.
Zošijeme diely na ramenách aj po bokoch. Okolo priekrčníka urobíme 2 riadky krátkych stĺpikov. Okolo vykrojených rukávov urobíme po 1 riadku krátkych stĺpikov.

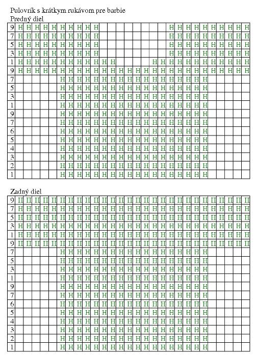
Pulovrík ONA
Upletieme predný aj zadný diel podľa obrázka. Riadky, ktoré nie sú popísané, pletieme ako sa javia.
Zošijeme diely na ramenách aj po bokoch. Okolo priekrčníka urobíme 4 riadky krátkych stĺpikov. Okolo rukávov urobíme po 1 riadku krátkych stĺpikov.
